«Ринг-Сити» — как вернуть деньги за услуги и гарантию

Расскажем, как написать отказ от всех видов услуг и «Гарантий», чтобы вернуть деньги.
Услуги «Ринг-Сити» навязывают в автосалоне при оформлении автомобиля в автокредит. Этим грешат и официальные дилеры и банки. Итак, если купили машину и в документах обнаружили дополнительную услугу, то эта инструкция для вас.
О компании ООО «Ринг-Сити»

Находится организация по адресу: 129226, город Москва, ул Докукина, д. 16 стр. 1, помещ. 3/1,
- ИНН 7730591292, ОГРН 5087746282883
- Сайт: ringcity.ru, mirgk.com
- Телефон: 8 (800-55) 5-04-57 и 8 (495) 645 04 57
- Тесно связанна с группой компаний «Мир»:
ООО «М-Ассистанс»ООО «Автопомощь 24»ООО «Прогресс»ООО «РИНГ вояж»ООО «Р-Ассистанс»ООО «Сириус»ООО «М-СЕРВИС»ООО «К-СЕРВИС+»ООО «СОЮЗ»
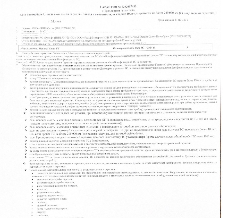
Договора «Гарантия», «Продленная гарантия»
Это договора дополнительной гарантии, которая в большинстве случаев даже и не нужна, так, как по закону о защите прав потребителей у вас и так автомобиль на гарантии. Каких только договоров не придумают страховая «Ринг-Сити»:
- «Platinum» — абонентский договор
- «Гарантированное ТО» — бывает и такое
- «Оплата лечения после ДТП»
- «Продленная гарантия»
- «AUTOSAFE» — очередная гарантия
- «Независимая гарантия»
- и другие навязанные услуги.

Как вернуть деньги с ООО «Ринг-Сити»
Подготовили для вас подробную инструкцию по возврату денежных средств.
Перед любым шагом нужно изучить документы на предмет рисков. Часто менеджеры автосалона запугивают покупателей потерей скидки на автомобиль. А мы переходим к самому важному шагу.
Также, будем рады видеть вас на нашем сайте, где вы сможете ознакомиться с данной статьей более подробно!
Начнем с первого шага.
Заявление в «Ринг-Сити» об отказе
Если вам оформили страховку, первое что нужно сделать — это расторгнуть договор. Для этого нужно направить претензию в компанию ООО «Ринг-Сити».
Отправить нужно по почте заказным письмом по адресу 129226, город Москва, ул Докукина, д. 16 стр. 1, помещ. 3/1.
В заявлении напишите свои ФИО и паспортные данные, укажите свои банковские реквизиты. И приложите копии документов: договор или карту, что у вас есть на руках.
Сохраните чек об отправке или сфотографируйте, он понадобиться в будущем, как доказательство. Отследить получение письма можно по трек номеру из чека на сайте почты России.
Напишите нам — пришлем бесплатный образец заявления о расторжении, подходящей под ваш случай.
«Ринг-Сити» не вернули деньги, что делать
Сколько ждать ответа и перечисления, сроки
Если подали заявление на расторжение договора в первые 30 дней, как оформили автокредит на машину, то ждать нужно 30 дней и после можно подавать требования к банку, об этом ниже.
Если претензию подали по истечении периода охлаждения тридцати дней, то уже через 10 дней с момента получения компанией можно подавать в суд.
Важно: во время ожидания менеджеры ООО «Ринг-Сити» или автосалона будут звонить запугивать повышением ставки по кредиту, увеличением цены на автомобиль из-за скидки. Или предлагать доп. соглашение, по которому сумма будет меньше. Все, что вы подпишите — только ухудшит ваше положение.
Что делать в случае отказа или молчания
Отказ — это уже обычная ситуация, автосалон прекрасно понимает, что большинство владельцев новых автомобилей не пойдут в суд или к омбудсмену и зарабатывают на этом большие деньги.
Если уложились в 30 дней с момента перевода денежных средств организации, то через 7 рабочих дней можно предъявить требования к банку согласно п. 2.9 Закона о «Потребительском кредите».
Подробнее, о возврате за доп. услуги писали в статье: как вернуть деньги с банка за навязанные услуги в кредит.
Если не уложились в тридцать дней, то нужно подавать в суд на исполнителя услуг.
Взыскать деньги с «Ринг-Сити» через суд
Для подачи в суд нужно составить исковое заявление и подготовить документы в доказательство своей позиции.
В иске обязательно указываем требования и основания для расторжения договора. Статья 32 Закона «О защите прав потребителей» дает вам право на отказ от исполнения договора об услугах. А также статья Ст. 782 ГК РФ.
Как подать в суд:
- Подать исковое заявление в суд, подготовив необходимые документы и направив предварительно ответчикам
- После выигрыша суда и вступления решения в законную силу получить исполнительный лист
- Направить исполнительный лист в банк или приставам для списания денег на ваш счет.
Конечно, суды не быстрые и нужно привлекать в дело сам автосалон и получателя ваших денежных средств, но только так можно восстановить справедливость.
Автосалон предоставил скидку на автомобиль
Прежде чем подавать заявление на отказ от услуг, нужно посмотреть все документы. Очень часто в документах покупатели находят доп. соглашение о цене авто.
Если нашли доп. соглашение, то нужно внимательно изучить его, особенно в части от каких услуг можно отказаться, чтобы сохранить скидку на машину. Менеджеры автосалона запугивают скидкой покупателей по телефону или в мессенджерах.
Пришлите нам документы — бесплатно изучим и скажем, какие есть риски в деле.
И не соглашайтесь на частичный возврат, который вам будут предлагать.
Результат возврата денег за услуги ООО «Ринг-Сити»
Обычно навязывают в кредит от 50 000 рублей до 300 000 при покупке автомобиля. Чаще всего люди даже не подозревают об доп. услугах, так как документы о них менеджеры скрывают.
Уже сбились со счета, скольким клиентам помогли вернуть деньги с «Ринг-Сити», за что они нам и благодарны, ниже прикрепляем скрины:

Это малая часть из результатов, но уже этого достаточно, чтобы вы решились встать на путь защиты своих прав. Чтобы не совершать ошибок, доверьте возврат опытным юристам.
Что только не придумает автосалон и банк для того, чтобы заработать на вас. Мы уже рассматривали некоторые из таких дополнительных услуг при покупке машины в нашей статье: Как отказаться от карты/сертификата помощи на дорогах.
Если переживаете за риски в деле, связанные со скидкой автосалона на автомобиль или процесс возврата выглядит сложным или не хочется тратить много времени и нервов — доверьте возврат опытным юристам, которые знают все «острые углы» и нюансы. Пришлите нам документы на изучение — бесплатно изучим риски и проконсультируем.